2026 is the year of not only AI really taking over (are you feeling it?) but also the Oral GLP-1 Competition heating up. 🔥
Novo just launched their Wegovy pill and hit over 18,000 prescriptions within its first two weeks. Lilly's likely approval comes in April. And last week, Corxel raised $287M to fund a third contender.
The stakes are obvious: whoever cracks the pill wins the mass market. But there's a problem nobody's solved yet—and it's not efficacy. It's keeping the drug down.
The TL;DR if you only have 30 seconds:
- 💊 The "Gut Tax": The real oral GLP-1 race isn't about efficacy—it's tolerability. Plus: the $20 generic that hits the same pathway through the back door.
- ⚡ My Protocol: I'm testing Acarbose + exogenous ketones for body recomp. Here's the stack, the CGM data, and why I'm paying the "bloat tax" instead of the "nausea tax."
- 🏃 The Variety Curve: Harvard says hybrid athletes (lift + swim + racket sports) have 19% lower mortality than specialists. It's not just volume—it's novelty.
- 🧠 Quick Hits: A new brain rejuvenation target (DMTF1), why "Provider Ops" is overtaking telehealth in VC funding, and where I'll be talking about the creator-clinician economy this week.
Let's get into it.
💊 The "Gut Tax": Why Pharma is Betting $287M on Nausea
Here's something the press releases don't mention: the oral GLP-1 race isn't about weight loss anymore. That's solved. The race is about who can make a pill that doesn't make you vomit.
On January 22nd, Corxel closed $287 million to push their oral GLP-1 into Phase 3. That's a massive bet on a drug that hasn't proven it works better than Lilly's or Novo's.
Oral = More Problems
Viking Therapeutics released Phase 2 data last August that should have made them the frontrunner. Their oral GLP-1 (VK2735) delivered 12.2% weight loss in just 13 weeks—faster than anything else in the pipeline.
Then you read the side effect table:
- 58% experienced nausea
- 26% experienced vomiting
One in four patients throwing up. And everyone thought an oral would better than an injectable...

🔬 The Mechanism (For the Clinically Curious)
Why does this happen? It's not a manufacturing flaw. It's the biology.
GLP-1 receptors aren't just in your gut. They're dense in the area postrema—the brain's vomiting center—and along vagal afferents. When you flood the system (particularly through the gut) with a potent agonist, you're not just signaling satiety. You're triggering the same pathway that makes you nauseated on a boat.
The harder you push the receptor, the more the brainstem pushes back.
This is why the "Gut Tax" is inescapable with direct agonists. You can titrate slowly. You can reformulate. But you're still forcing a receptor that evolution designed to make you stop eating—by any means necessary.
The Back Door: What GI Doctors Have Known for 30 Years
Here's where it gets interesting for the longevity crowd.
There's another way to raise GLP-1—without touching the receptor directly.
You let the gut do it for you.
Acarbose is a generic alpha-glucosidase inhibitor ($20/month) that blocks starch digestion in the small intestine. The undigested starch travels to your colon, where your microbiome ferments it into short-chain fatty acids—primarily butyrate.
Butyrate is a direct stimulus for L-cell GLP-1 secretion.
Same hormone. Endogenous release. No receptor flooding. No area postrema activation.
The trade-off? Gas and bloating if you aren't fiber-adapted. If you're like most Americans, your colon isn't used to fermenting that much substrate. The first two weeks can be very uncomfortable. But "uncomfortable" is different from "vomiting 26% of the time."

🔥 The Longevity Angle (Why This Isn't Just About Weight)
For clinicians thinking beyond obesity: Acarbose is one of only four compounds to extend lifespan in the NIA's Interventions Testing Program (ITP)—the gold standard for longevity research in mammals.
The effect was robust and reproducible across three independent labs. And it was sex-dependent: male mice showed ~20% median lifespan extension. Females showed a smaller effect ~5% although still significant.
The mechanism likely goes beyond GLP-1:
- Reduced postprandial glucose excursions
- Improved insulin sensitivity
- Possible effects on the microbiome-gut-brain axis
- Butyrate's role in gut barrier integrity and inflammation
This isn't a weight loss drug repurposed for longevity. It's a longevity drug that happens to touch the same pathway pharma is spending billions to crack.
There's no free lunch. But there might be a cheaper tax.
⚠️ Clinical Note: Acarbose is contraindicated in inflammatory bowel disease, intestinal obstruction, and severe renal impairment (CrCl <25). Start at 25mg with the first bite of a starch-containing meal. Titrate to 50-100mg TID as tolerated. The GI effects diminish as the microbiome adapts (typically 2-4 weeks). Work with a clinician if you're considering any medical intervention.
The Bottom Line
The $287M bet is that pharma can engineer around the nausea. Maybe they can.
But the "back door" to GLP-1 has been sitting in generic formularies since 1995. For those of us focused on healthspan—not dramatic weight loss—it might be the smarter tax to pay.
I've been testing it myself. Here's the protocol 👇
⚡ The CEO Protocol: My Body Recomp Plan
After no fewer than six conferences in Q4 2025—then straight into the holiday season—my January goal was probably the same as yours: body recomposition.
I've seen the miracles of GLP-1s firsthand. Patients losing 50, 80, 100+ pounds. Metabolic panels normalizing. Lives transformed. I'm a believer in the drug class.
But when I tried them myself (even at micro doses)? Different story.
I experienced ankle swelling and dry mouth due to fluid shifts. And worse—anhedonia. That flat, unmotivated, "what's the point" feeling. It's a known side effect (GLP-1 receptors are all over the reward circuitry), but it definitely hit me hard.
So I made a decision to do it the old school way...plus something different.
The Stack:
- MacroFactor (every meal tracked): No guessing. Meal prep and food scale accurate. The accountability is annoying and non-negotiable.
- Protein target: >1g/lb bodyweight. This is the anchor. Everything else is built around hitting this. Protein at every meal (I haven't even had to supplement!).
- Low-carb (115g) + 250 calorie daily deficit. Aggressive enough to move the needle. Sustainable enough that I'm not white-knuckling it. The low-carb diet keeps hunger manageable (carbs are addictive!) and pairs well with Acarbose.
- Daily gym: Cardio + Resistance. Even if it's just 20 minutes of Zone 2 on the treadmill plus lifting. Plus sauna about 3x a week.
- Acarbose (50mg with carb-y meals): Blunts the glucose spike when I do eat carbs, and drives that natural GLP-1 release via fermentation overnight. Fun observation: Acarbose makes me *super* full due to the carbs turning to pseudo-fiber in my gut and hitting those GLP-1 receptors – much more than expected.
- Exogenous Ketones (as needed): I use this for when I need focus without breaking the deficit, or to stave off hunger. Honestly, jury's out but I think it helps.
- CGM (continuous glucose monitor): The feedback loop that makes everything work. I started the month with more spikes, and now have "rolling hills" even without acarbose, so something has changed...
The Evidence:


The Result So Far:
I'm down about 5 lb in a month although truly weight is a very loose metric, and progress photos are showing a difference. And while I don't trust any home scale for body composition, I have gained a bit of muscle mass and lost more fat mass.
Is it slower than a GLP-1? Yes.
Is it more psychological effort? Absolutely.
But I'll take the bloat tax over the misery tax any day.
⚠️ Note: Acarbose is prescription-only (originally approved for Type 2 diabetes). If you're interested in off-label use for metabolic optimization, work with a clinician who understands the longevity context. An OTC option that is different in mechanism (won't lower glycemic load but will increase fiber and protect your liver) is ZBiotic's Sugar-to-Fiber probiotic).
🏃♀️ Found: Minimal Viable Dose for Longevity
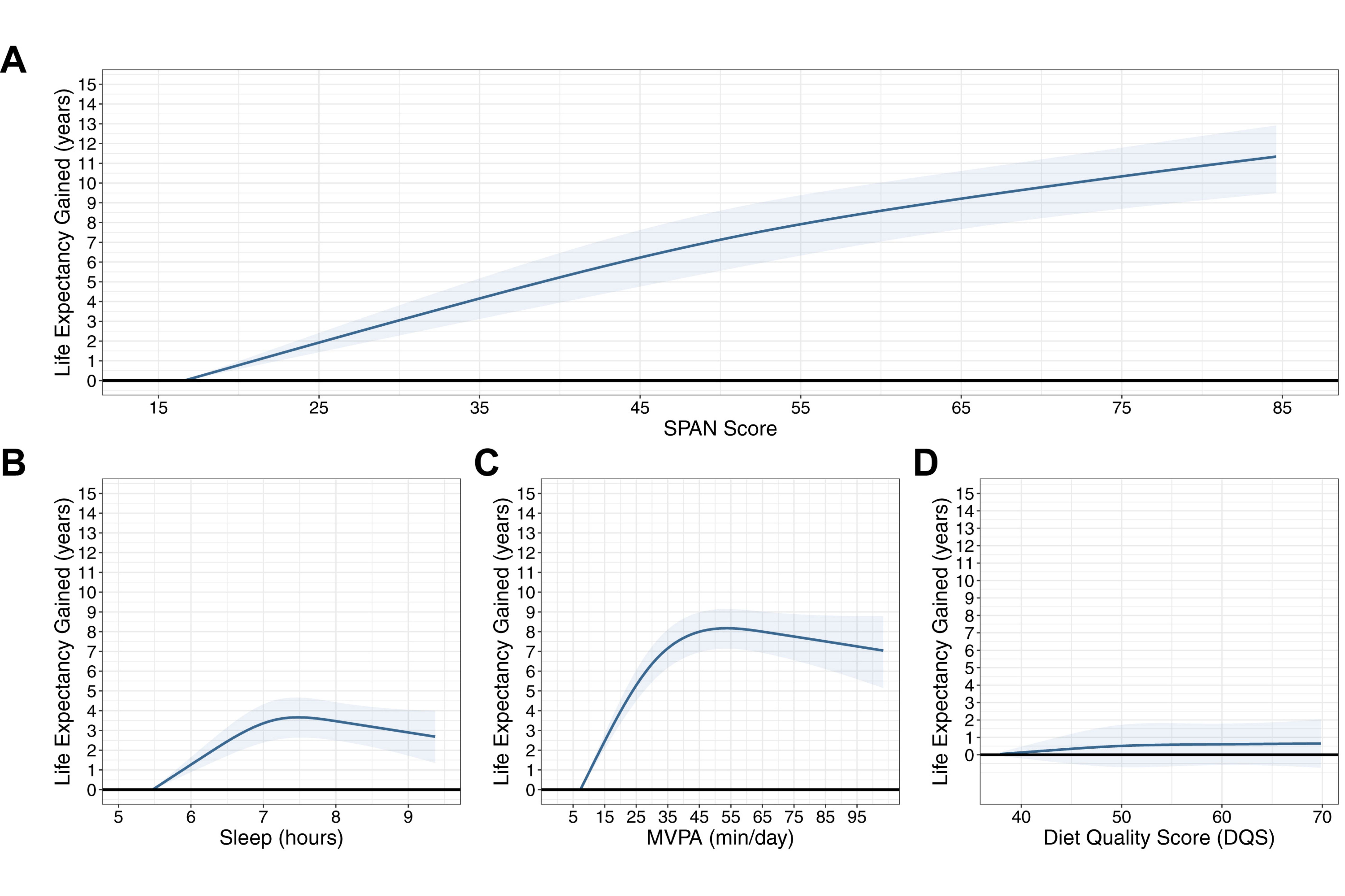
We all know that sleep, physical activity, and nutrition (SPAN) aid both healthspan and lifespan, and this latest study in eClinicalMedicine shows that the minimum viable dose is probably smaller than you think!
.jpg)
The Study: 59,078 adults followed for 8 years, wearing accelerometers to track actual movement and sleep—not self-reported guesses.
The Finding That Matters:
When you improve sleep, physical activity, and nutrition together, the dose you need of each drops dramatically.
To gain one extra year of life, you need:
- 5 extra minutes of sleep per night
- 2 extra minutes of MVPA per day
- Half a serving of vegetables
That's it.
To gain the same year from sleep alone? You'd need 25 extra minutes per night. From exercise alone? Nearly impossible to calculate—the curve doesn't work that way.
What's MVPA?
MVPA = Moderate-to-Vigorous Physical Activity
Basically, anything that gets your heart rate up beyond a casual stroll. Think:
- Brisk walking
- Cycling
- Swimming
- Strength training
- Running
- Tennis, pickleball, etc.
The study defined it using accelerometer data: activities hitting ≥3 METs (metabolic equivalent tasks).
The Maximum Upside
People in the optimal zone (7-8 hours sleep, >42 min/day MVPA, high diet quality) were projected to have up to 9.4 additional years of both lifespan and healthspan compared to those in the worst tertile.
🔥 The Takeaway: Stop optimizing one thing obsessively. The longevity math rewards breadth over depth. A little more sleep + a little more movement + slightly better food quality compounds in ways that single-variable optimization can't match.
⚡ Longevity Quick Hits
🧠 Brain Rejuvenation Gets a New Target Researchers at NUS Medicine identified DMTF1, a protein that reverses aging in neural stem cells. By restoring its expression, they dramatically improved the generation of new neurons in aged models. This discovery provides a completely fresh framework for treating age-related cognitive decline.
🧬 AI-Driven Metabolic Drug Breakthrough Insilico Medicine and Qilu Pharmaceutical announced a $120 million partnership to accelerate AI-generated therapies for metabolic diseases. This deal highlights the industry’s massive pivot toward using generative AI to solve complex, age-related chronic conditions like metabolic syndrome.
📉 Obesity and Hypertension Proven as Direct Causes of Dementia A major genetic study using Mendelian Randomization has proven that high BMI and blood pressure are not just associated risks, but direct causal factors for vascular dementia. This provides a strong clinical mandate for aggressive mid-life metabolic management as a primary neuroprotective strategy.
🫀 Until Next Week
If this issue made you think differently about the GLP-1 hype—or gave you permission to try the boring fundamentals first—forward it to someone who needs to hear it.
And if you're a clinician interested in the off-label longevity stack (Acarbose, metformin, rapamycin, the usual suspects), I'm always happy to trade notes. Just reply.
To your healthspan,
Hillary Lin, MD
Co-Founder & CEO
Follow me for more longevity insights: YouTube | LinkedIn | Instagram | TikTok
Want to turn your wellness brand into a full-service health destination? Learn about Care Core's platform or Get Started Here
Where to find me:
Physician Creator Trends – VSP Innovation Center & Matter Fireside Chat (Virtual) – Jan 28 @ 1PM EST link here. So excited about this topic!
Where to find me:
Physician Creator Trends – VSP Innovation Center & Matter Fireside Chat (Virtual) – Jan 28 @ 1PM EST link here. So excited about this topic!
👱🏻♀️👩🏻🦰👩🏻👧🏽👧🏾 Livelong Women’s Health Summit – April 17-18, 2026, SF, CA. Delighted to join 50 other thought leaders in speaking on women's longevity!
Support us with your longevity purchases:
NeuroAgeTx is offering the most comprehensive and science-backed brain aging package to The Longevity Letter readers at up to 61% off (affiliate link here)
Timeline offers the patented Urolithin A for scientifically proven mitochondrial support. Their MitoImmune trial just published showing reversal of immune cell exhaustion in 28 days. (Code CARECORE for 10% off).
GlycanAge measures your immune system's biological age, offering an easy way to detect "inflammaging" and recommend how to fix it.
ZBiotics is one of my favorite brands, because they offer two pro-longevity probiotics for when you *do* have a little fun (alcohol or sugar!). (Code CARECORE for 10% off.)
.jpg)

.jpg)
.jpg)
.jpg)

